Formulas of Hyperbolic Identities
1. cosh2x − sinh2x = 1
2. tanh2x + sech2x = 1
3. coth2x − csch2x = 1
4. cosh2x = cosh2x + sinh2x
5. sinh2x = 2 sinhx . coshx
6. 
7. 
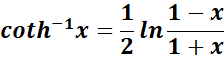
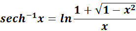
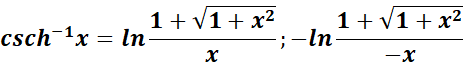
Formulas of Inverse Hyperbolic Function |
1. ![]()
2. ![]()
3. 
4. 
5. 
6. 
Example |
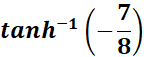
1. Find the answer from this given: 
Steps:
a. Write the given and determine the value.
b. Use the specific Hyperbolic formula.
c. Find the hyperbolic function.
= 
= 
= 
= 
= 
= -1.354
Exercises |
1. sinh-1 3
Steps:
a. Write the given and determine the value.
b. Use the specific Inverse Hyperbolic formula.
c. Find the inverse hyperbolic function.
Solution:
= sinh-1 3
= Formula: ![]()
= x = 3
= ![]()
= 1.82
Answer: 1.82
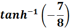
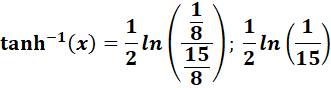
2. ![]()
Steps:
a. Write the given and determine the value.
b. Use the specific Inverse Hyperbolic formula.
c. Find the inverse hyperbolic function.
Solution:
= ![]()
= Formula: ![]()
= x = ![]()
= 
= ![]()
= 1.4886
Answer: 1.4886
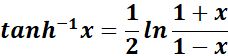
3. tanh-1 (0.5)
Steps:
a. Write the given and determine the value.
b. Use the specific Inverse Hyperbolic formula.
c. Find the inverse hyperbolic function.
Solution:
= tanh-1 (0.5)
= Formula: 
= x = 0.5
= 
= 
= ln(3) = 1.0986
= 
= 0.5493
Answer: 0.5493
4. 
Steps:
a. Write the given and determine the value.
b. Use the specific Inverse Hyperbolic formula.
c. Find the inverse hyperbolic function.
Solution:
= 
= Formula: 
= x1 = 3/5; x2 = 4/5
= 
= 
= 1.4722
Answer: 1.4722
5. cosh-1 ( cosh (2x) )
Steps:
a. Write the given and determine the value.
b. Use the specific Inverse Hyperbolic formula.
c. Find the inverse hyperbolic function.
Solution:
= cosh-1 ( cosh (2x) )
= Formula: ![]()
= x = cosh (2x)
= ![]()
= ![]()
= ![]()
= 2x
Answer: 2x