Definition
Hyperbolic Functions
-> This tells the mathematical functions similar to trigonometric functions but based on hyperbolas than circles.
Formulas of Hyperbolic Functions |
1. Hyperbolic Sine Rule
-> The property represents the difference between the exponential growth and decay, divided by 2.
Formula:

2. Hyperbolic Cosine Rule
-> The property represents the average of exponential growth and decay, divided by 2
Formula:
3. Hyperbolic Tangent Rule
-> The property represents the ratio of hyperbolic sine and cosine function.
Formula:

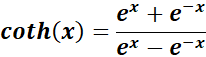
4. Hyperbolic Cotangent Rule
-> The property represents the reciprocal of the hyperbolic tangent function.
Formula:

5. Hyperbolic Secant Rule
-> The property represents the reciprocal of the hyperbolic cosine function.
Formula:

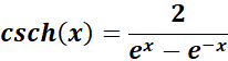
6. Hyperbolic Cosecant Rule
-> The property represents the reciprocal of the hyperbolic sine function.
Formula:

Example |
1. Find the answer from this given:
y = sinh 2x
Steps:
a. Write the given and determine the value.
b. Use the specific Hyperbolic formula.
c. Find the hyperbolic function.
= y = sinh 2x
= x = 2x
= 
= 
Exercises |
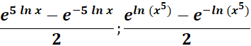
1. sinh (5 ln x)
Steps:
a. Write the given and determine the value.
b. Use the specific Hyperbolic formula.
c. Find the hyperbolic function.
Solution:
= sinh (5 ln x)
= Formula: 
= x = 5 ln x
= 
= 
Answer: 
2. cosh (2)
Steps:
a. Write the given and determine the value.
b. Use the specific Hyperbolic formula.
c. Find the hyperbolic function.
Solution:
= cosh (2)
= Formula: 
= x = 2
= 
= 3.762
Answer: 3.762
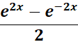
3. 
Steps:
a. Write the given and determine the value.
b. Use the specific Hyperbolic formula.
c. Find the hyperbolic function.
Solution:
= 
= Formula: 
= sinh = 
= cosh = 
= 
= 1.261
Answer: 1.261
4. ![]()
Steps:
a. Write the given and determine the value.
b. Use the specific Hyperbolic formula.
c. Find the hyperbolic function.
Solution:
= ![]()
= Formula: 
= x = ![]()
= 
= 11.549
Answer: 11.549
5. sech (1)
Steps:
a. Write the given and determine the value.
b. Use the specific Hyperbolic formula.
c. Find the hyperbolic function.
Solution:
= sech (1)
= Formula: 
= x = 1
= 
= 0.648
Answer: 0.648