Definition
Natural Logarithm
-> The logarithm to the base e where e (Euler's number) is an irrational constant approximately equal to 2.71828.
Properties of Natural Logarithm |
1. Product Rule
-> The property states that natural log of a product is equal to the sum of the natural log of the factors.
Formula:
![]()
2. Quotient Rule
-> This property states that natural log of a quotient is the difference of the natural log of the numerator and the denominator.
Formula:

3. Power Rule
-> This property allows to bring the exponent inside the log to the front as a multiplier.
Formula:
![]()
4. Log of 1 Rule
-> The property states that natural log of 1 is always 0 because e0 = 1.
Formula:
![]()
5. Log of e Rule
-> The property states that natural log of e is always 1 because e1 = e.
Formula:
![]()
6. Inverse Property Rule
-> The property states that natural log and the exponential function are inverses of each other.
Formula:
![]()
7. Derivative Rule
-> The property states that derivative of the natural log with respect to x is
.
Formula:

8. Integral Rule
-> The property states that indefinite integral of
is the natural log of the absolute value of x plus a constant of integration C.
Formula:

Example |
1. Find the answer from this given:
e3x = 9
Steps:
a. Write the given and determine the value.
b. Use the specific Natural Log formula.
c. Find the Natural Log.
d. Find the x value.
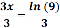
= e3x = 9
= x = 9; ln x = 3x
= ln (e3x) = ln (9)
= 
= 
= 0.7324
Exercises |
1. 32x = 22x+3
Steps:
a. Write the given and determine the value.
b. Use the specific Natural Log formula.
c. Find the Natural Log.
d. Find the x.
Solution:
= 32x = 22x+3
= Formula: ![]()
= ln (32x) = ln (22x+3)
= a1 = 3; a2 = 2; b1 = 2x; b2 = 2x + 3
= 2x ln (3) = (2x + 3) ln (2)
= 2x ln (3) - 2x ln (2) = 3 ln (2)
= x(ln (9) - ln (4)) = ln 8
=
= 
= 2.564
Answer: 2.564
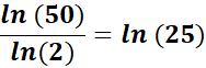
2. ln (50) - ln (2)
Steps:
a. Write the given and determine the value.
b. Use the specific Natural Log formula.
c. Find the Natural Log.
Solution:
= ln (50) - ln (2)
= Formula: 
= x = 50; y = 2
= 
= 
= ln (25)
= 3.2189
Answer: 3.2189
3. ln (x) = 3
Steps:
a. Write the given and determine the value.
b. Use the specific Natural Log formula.
c. Find the Natural Log.
d. Find the x.
Solution:
= ln (x) = 3
= Formula: ![]()
= ln (x) = 3
= eln (x) = e3
= x = e3
= 20.0855
Answer: 20.0855
4. ln (27)
Steps:
a. Write the given and determine the value.
b. Use the specific Natural Log formula.
c. Find the Natural Log.
Solution:
= ln (27)
= Formula: ![]()
= a = 27; b = 3
= ln (27) = ln (33)
= 3 ln (3)
= ln (3) = 1.0986
= 3 x 1.0986
= 3.2958
Answer: 3.2958
5. ln (6)
Steps:
a. Write the given and determine the value.
b. Use the specific Natural Log formula.
c. Find the Natural Log.
Solution:
= ln (6)
= Formula: ![]()
= ln (6) = ln (2) (3)
= ln (2 x 3) = ln (2) + ln (3)
= ln (2) = 0.6931; ln (3) = 1.0986
= 0.6931 + 1.0986
= 1.7917
Answer: 1.7917