| Trigonometric Substitution - Assessment |

Dec. 24, 2024, 1:45 p.m.

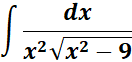
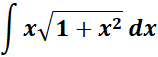
1. What is the correct answer for this given:

  • Option

  • Option

  • Option

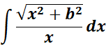
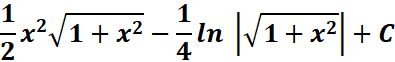
2. What is the correct answer for this given:

  • Option

  • Option

  • Option

    None of the above.

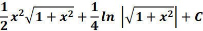
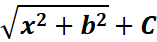
3. What is the correct answer for this given:

  • Option

  • Option

  • Option

    All of the above.

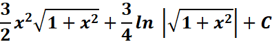
4. What is the correct answer for this given:

  • Option

  • Option

  • Option

5. What is the correct answer for this given:

  • Option

  • Option

  • Option

    None of the above.