| Algebraic Substitution - Assessment |

Dec. 24, 2024, 1:44 p.m.

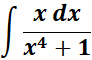
1. What is the correct answer for this given:

  • Option

  • Option

  • Option

    None of the above.

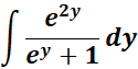
2. What is the correct answer for this given:

  • Option

    ey − ln (ey + 1) + C

  • Option

    ey + ln (ey − 1) + C

  • Option

    2 ey − ln (ey − 1) + C

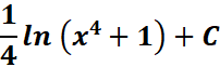
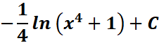
3. What is the correct answer for this given:

  • Option

  • Option

  • Option

4. What is the correct answer for this given:

  • Option

  • Option

  • Option

    All of the above.

5. What is the correct answer for this given:

  • Option

  • Option

  • Option