| Parts of Integration - Assessment |

Dec. 24, 2024, 1:44 p.m.

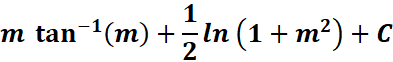
1. What is the correct answer for this given:

  • Option

  • Option

  • Option

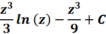
2. What is the correct answer for this given:

  • Option

  • Option

  • Option

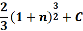
3. What is the correct answer for this given:

  • Option

  • Option

  • Option

    All of the above.

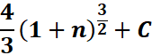
4. What is the correct answer for this given:

  • Option

  • Option

  • Option

5. What is the correct answer for this given:

  • Option

    h ln (h) + h + C

  • Option

    h ln (h) - h + C

  • Option

    2h ln (h) - h + C