| Repeated Quadratic Factors - Assessment |

Dec. 27, 2024, 5:55 p.m.

1. What is the correct answer for this given:

  • Option

    2x - ln (x2 + 2x + 2) + C

  • Option

    3x - ln (x2 + 2x + 2) + C

  • Option

    None of the above.

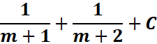
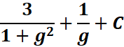
2. What is the correct answer for this given:

  • Option

  • Option

  • Option

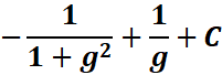
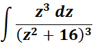
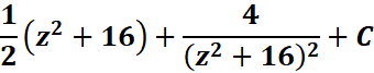
3. What is the correct answer for this given:

  • Option

  • Option

  • Option

    None of the above.

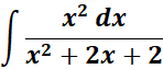
4. What is the correct answer for this given:

  • Option

  • Option

  • Option

    None of the above.

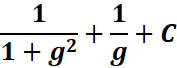
5. What is the correct answer for this given:

  • Option

  • Option

  • Option