| Repeated Linear Factors - Assessment |

Dec. 27, 2024, 5:54 p.m.

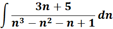
1. What is the correct answer for this given:

  • Option

  • Option

  • Option

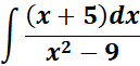
2. What is the correct answer for this given:

  • Option

  • Option

  • Option

3. What is the correct answer for this given:

  • Option

    -ln (ex + 1) + x + C

  • Option

    ln (ex + 1) + x + C

  • Option

    2 ln (ex + 1) + 2x + C

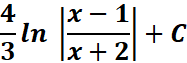
4. What is the correct answer for this given:

  • Option

  • Option

  • Option

    All of the above.

5. What is the correct answer for this given:

  • Option

  • Option

  • Option