| Non - Repeated Linear Factors- Assessment |
Dec. 27, 2024, 5:53 p.m.
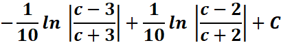
1. What is the correct answer for this given: 
2. What is the correct answer for this given: 
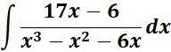
-

-

-
None of the above.
3. What is the correct answer for this given: 
-
-ln |s - 1| + 2 ln |s - 2| + C
-
ln |s - 1| - 2 ln |s - 2| + C
-
All of the above.
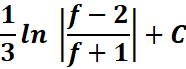
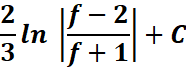
4. What is the correct answer for this given: 
-

-

-
None of the above.
5. What is the correct answer for this given: 
-
ln |x| + 3 ln |x - 3| - 4 ln |x + 2| + C
-
2 ln |x| + 3 ln |x - 3| - 4 ln |x + 2| + C
-
None of the above.