| Integration: Indefinite Integral - Assessment |

Sept. 3, 2024, 4:59 p.m.

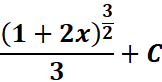
1. What is the correct answer for this given:

  • Option

    All of these.

  • Option

  • Option

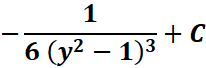
2. What is the correct answer for this given:

  • Option

  • Option

  • Option

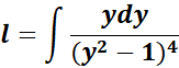
3. What is the correct answer for this given:

  • Option

  • Option

  • Option

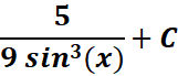
4. What is the correct answer for this given:

  • Option

  • Option

  • Option

    None of the above.

5. What is the correct answer for this given:

  • Option

  • Option

  • Option