| Integral of a Variable and it's Formulas - I - Assessment |

Dec. 22, 2024, 2:56 p.m.

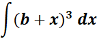
1. What is the correct answer for this given:

  • Option

  • Option

  • Option

    All of the above.

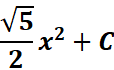
2. What is the correct answer for this given:

  • Option

  • Option

  • Option

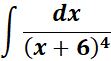
3. What is the correct answer for this given:

  • Option

  • Option

  • Option

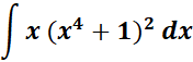
4. What is the correct answer for this given:

  • Option

    z + 2 ln |z - 1| + C

  • Option

    z - 2 ln |z + 1| + C

  • Option

    None of these.

5. What is the correct answer for this given:

  • Option

  • Option

  • Option