| Higher Integrals - Assessment |

Dec. 22, 2024, 3:08 p.m.

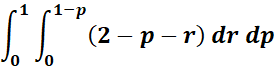
1. What is the correct answer for this given:

  • Option

    4

  • Option

    -4

  • Option

    All of the above.

2. What is the correct answer for this given:

  • Option

  • Option

  • Option

3. What is the correct answer for this given:

  • Option

  • Option

  • Option

4. What is the correct answer for this given:

  • Option

    64

  • Option

    63

  • Option

    None of the above.

5. What is the correct answer for this given:

  • Option

  • Option

  • Option