| Integral of Logarithm Functions - Assessment |

Dec. 24, 2024, 10:46 a.m.

1. What is the correct answer for this given:

  • Option

  • Option

  • Option

2. What is the correct answer for this given:

  • Option

    tan−1 (ex) + C

  • Option

    tan (ex) + C

  • Option

    sec−1 (ex) + C

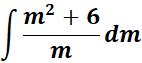
3. What is the correct answer for this given:

  • Option

  • Option

  • Option

    All of the above.

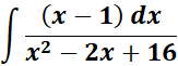
4. What is the correct answer for this given:

  • Option

  • Option

  • Option

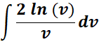
5. What is the correct answer for this given:

  • Option

    2 ln (v) + C

  • Option

    ln (v) + C

  • Option

    None of the above.