| Integral of Inverse Hyperbolic Functions - Assessment |

Dec. 24, 2024, 10:47 a.m.

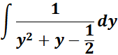
1. What is the correct answer for this given:

  • Option

  • Option

  • Option

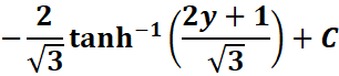
2. What is the correct answer for this given:

  • Option

  • Option

  • Option

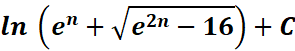
3. What is the correct answer for this given:

  • Option

  • Option

  • Option

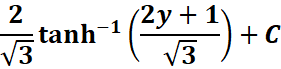
4. What is the correct answer for this given:

  • Option

  • Option

  • Option

    All of the above.

5. What is the correct answer for this given:

  • Option

  • Option

  • Option

    None of the above.