| Integral of Exponential Functions - Assessment |

Dec. 24, 2024, 10:47 a.m.

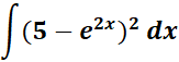
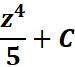
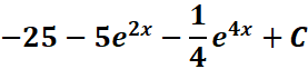
1. What is the correct answer for this given:

  • Option

  • Option

  • Option

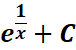
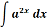
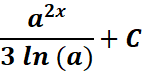
2. What is the correct answer for this given:

  • Option

  • Option

  • Option

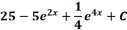
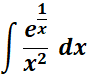
3. What is the correct answer for this given:

  • Option

  • Option

  • Option

    All of the above.

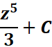
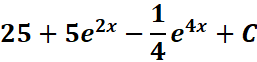
4. What is the correct answer for this given:

  • Option

    All of the below.

  • Option

  • Option

5. What is the correct answer for this given:

  • Option

  • Option

  • Option