1. What is the python code for this problem:

# 1st: Import the sympy module import sympy as sp # Import sympy for symbolic computation # 2nd: Define the variable 'g' g = sp.symbols('g') # Define the symbolic variable 'g' # 3rd: Define the integrand integrand = 1 / (2 + g)**3 # Define the function to integrate # 4th: Perform the integration with respect to 'g' integral_result = sp.integrate(integrand, g) # Compute the integral # 5th: Display the result print(integral_result) # Print the result of the integral
2. What is the python code for this problem:

# 1st: Import the sympy module import sympy as sp # Import sympy for symbolic computation # 2nd: Define the variable 'x' x = sp.symbols('x') # Define the symbolic variable 'x' # 3rd: Define the integrand integrand = (5 * x - 3) / (x**4 + x**3 - 2 * x**2) # Define the function to integrate # 4th: Perform partial fraction decomposition partial_fractions = sp.apart(integrand, x) # Perform partial fraction decomposition # 5th: Integrate the result integral_result = sp.integrate(partial_fractions, x) # Compute the integral # 6th: Display the result print(integral_result) # Print the result of the integral
3. What is the python code for this problem:

# 1st: Import the sympy module import sympy as sp # Import sympy for symbolic computation # 2nd: Define the variable 'y' y = sp.symbols('y') # Define the symbolic variable 'y' # 3rd: Define the integrand integrand = (6 * y - 11) / (y - 1)**2 # Define the function to integrate # 4th: Perform the integration integral_result = sp.integrate(integrand, y) # Compute the integral # 5th: Display the result print(integral_result) # Print the result of the integral
4. What is the python code for this problem:

# 1st: Import the sympy module import sympy as sp # Import sympy for symbolic computation # 2nd: Define the variable 'm' m = sp.symbols('m') # Define the symbolic variable 'm' # 3rd: Define the integrand integrand = 2 * m / ((m - 2)**2 * (m + 2)) # Define the function to integrate # 4th: Perform the integration integral_result = sp.integrate(integrand, m) # Compute the integral # 5th: Display the result print(integral_result) # Print the result of the integral
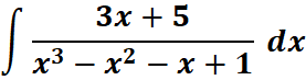
5. What is the python code for this problem:

# 1st: Import the sympy module import sympy as sp # Import sympy for symbolic computation # 2nd: Define the variable 'x' x = sp.symbols('x') # Define the symbolic variable 'x' # 3rd: Define the integrand integrand = (3*x + 5) / ((x - 1)**2 * (x + 1)) # Define the function to integrate # 4th: Perform the integration integral_result = sp.integrate(integrand, x) # Compute the integral # 5th: Display the result print(integral_result) # Print the result of the integral