1. What is the python code for this problem:

# 1st: Import the sympy module import sympy as sp # Import sympy for symbolic computation # 2nd: Define the variable 'w' w = sp.symbols('w') # Define the symbolic variable 'w' # 3rd: Define the integrand integrand = (2 * w**2 + 1) / ((w - 1) * (w - 2) * (w - 3)) # Define the function to integrate # 4th: Perform the integration with respect to 'w' integral_result = sp.integrate(integrand, w) # Compute the integral # 5th: Display the result print(integral_result) # Print the result of the integral
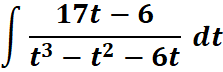
2. What is the python code for this problem:

# 1st: Import the sympy module import sympy as sp # Import sympy for symbolic computation # 2nd: Define the variable 't' t = sp.symbols('t') # Define the symbolic variable 't' # 3rd: Define the integrand integrand = (17 * t - 6) / (t**3 - t**2 - 6 * t) # Define the function to integrate # 4th: Perform the integration with respect to 't' integral_result = sp.integrate(integrand, t) # Compute the integral # 5th: Display the result print(integral_result) # Print the result of the integral
3. What is the python code for this problem:

# 1st: Import the sympy module import sympy as sp # Import sympy for symbolic computation # 2nd: Define the variable 'r' r = sp.symbols('r') # Define the symbolic variable 'r' # 3rd: Define the integrand integrand = 1 / (r**4 - 13 * r**2 + 36) # Define the function to integrate # 4th: Perform the integration with respect to 'r' integral_result = sp.integrate(integrand, r) # Compute the integral # 5th: Display the result print(integral_result) # Print the result of the integral
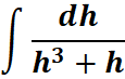
4. What is the python code for this problem:

# 1st: Import the sympy module import sympy as sp # Import sympy for symbolic computation # 2nd: Define the variable 'h' h = sp.symbols('h') # Define the symbolic variable 'h' # 3rd: Define the integrand integrand = 1 / (h**3 + h) # Define the function to integrate # 4th: Perform the integration with respect to 'h' integral_result = sp.integrate(integrand, h) # Compute the integral # 5th: Display the result print(integral_result) # Print the result of the integral
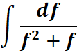
5. What is the python code for this problem:

# 1st: Import the sympy module import sympy as sp # Import sympy for symbolic computation # 2nd: Define the variable 'f' f = sp.symbols('f') # Define the symbolic variable 'f' # 3rd: Define the integrand integrand = 1 / (f**2 + f) # Define the function to integrate # 4th: Perform the integration with respect to 'f' integral_result = sp.integrate(integrand, f) # Compute the integral # 5th: Display the result print(integral_result) # Print the result of the integral