| Integral of Trigonometric Functions - Assessment |

Dec. 23, 2024, 5:47 p.m.

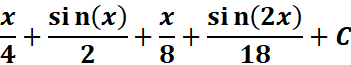
1. What is the correct answer for this given:

  • Option

  • Option

  • Option

    All of the above.

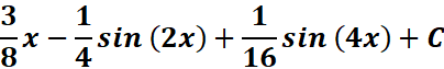
2. What is the correct answer for this given:

  • Option

  • Option

  • Option

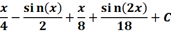
3. What is the correct answer for this given:

  • Option

  • Option

  • Option

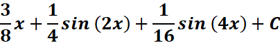
4. What is the correct answer for this given:

  • Option

    sin (m) + C

  • Option

    tan (m) + C

  • Option

    All of the above.

5. What is the correct answer for this given:

  • Option

  • Option

  • Option