| Integral of Inverse Trigonometric Functions - Assessment |

Dec. 23, 2024, 5:47 p.m.

1. What is the correct answer for this given:

  • Option

  • Option

  • Option

    All of the above.

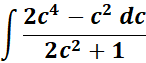
2. What is the correct answer for this given:

  • Option

  • Option

  • Option

3. What is the correct answer for this given:

  • Option

  • Option

  • Option

4. What is the correct answer for this given:

  • Option

    cos θ + C

  • Option

    - cos θ + C

  • Option

    sin θ + C

5. What is the correct answer for this given:

  • Option

  • Option

  • Option