1. What is the python code for this problem:

# 1st: Import the sympy module import sympy as sp # Import sympy for symbolic mathematics # 2nd: Define the variable 'g' g = sp.symbols('g') # Define the symbolic variable 'g' # 3rd: Define the integrand integrand = 4 / (3 + g) # Define the function to integrate # 4th: Perform the integration with respect to 'g' integral_result = sp.integrate(integrand, g) # Compute the integral # 5th: Display the result sp.pprint(integral_result) # Pretty print the result
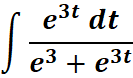
2. What is the python code for this problem:

# 1st: Import the sympy module import sympy as sp # Import sympy for symbolic mathematics # 2nd: Define the variable 't' t = sp.symbols('t') # Define the symbolic variable 't' # 3rd: Define the integrand integrand = (sp.exp(3 * t)) / (sp.exp(3) + sp.exp(3 * t)) # Define the function to integrate # 4th: Perform the integration with respect to 't' integral_result = sp.integrate(integrand, t) # Compute the integral # 5th: Display the result sp.pprint(integral_result) # Pretty print the result
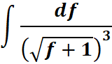
3. What is the python code for this problem:

# 1st: Import the sympy module import sympy as sp # Import sympy for symbolic mathematics # 2nd: Define the variable 'f' f = sp.symbols('f') # Define the symbolic variable 'f' # 3rd: Define the integrand integrand = 1 / (sp.sqrt(f + 1)**3) # Define the function to integrate # 4th: Perform the integration with respect to 'f' integral_result = sp.integrate(integrand, f) # Compute the integral # 5th: Display the result sp.pprint(integral_result) # Pretty print the result
4. What is the python code for this problem:

# 1st: Import the sympy module import sympy as sp # Import sympy for symbolic mathematics # 2nd: Define the variable 'l' l = sp.symbols('l') # Define the symbolic variable 'l' # 3rd: Define the integrand integrand = sp.csc(l) * sp.cot(l) / (3 + 2 * sp.csc(l)) # Define the function to integrate # 4th: Perform the integration with respect to 'l' integral_result = sp.integrate(integrand, l) # Compute the integral # 5th: Display the result sp.pprint(integral_result) # Pretty print the result
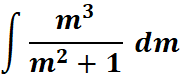
5. What is the python code for this problem:

# 1st: Import the sympy module import sympy as sp # Import sympy for symbolic mathematics # 2nd: Define the variable 'm' m = sp.symbols('m') # Define the symbolic variable 'm' # 3rd: Define the integrand integrand = m**3 / (m**2 + 1) # Define the function to integrate # 4th: Perform the integration with respect to 'm' integral_result = sp.integrate(integrand, m) # Compute the integral # 5th: Display the result sp.pprint(integral_result) # Pretty print the result