1. What is the python code for this problem:

# 1st: Import the sympy module import sympy as sp # Import sympy for symbolic mathematics # 2nd: Define the variable 'h' h = sp.symbols('h') # Define the symbolic variable 'h' # 3rd: Define the integrand integrand = sp.ln(h) / sp.sqrt(sp.ln(h)**2 - 4) # Define the function to integrate # 4th: Perform the integration with respect to 'h' integral_result = sp.integrate(integrand, h) # Compute the integral # 5th: Display the result sp.pprint(integral_result) # Pretty print the result
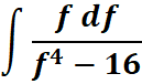
2. What is the python code for this problem:

# 1st: Import the sympy module import sympy as sp # Import sympy for symbolic mathematics # 2nd: Define the variable 'f' f = sp.symbols('f') # Define the symbolic variable 'f' # 3rd: Define the integrand integrand = f / (f**4 - 16) # Define the function to integrate # 4th: Perform the integration with respect to 'f' integral_result = sp.integrate(integrand, f) # Compute the integral # 5th: Display the result sp.pprint(integral_result) # Pretty print the result
3. What is the python code for this problem:

# 1st: Import the sympy module import sympy as sp # Import sympy for symbolic mathematics # 2nd: Define the variable 's' s = sp.symbols('s') # Define the symbolic variable 's' # 3rd: Define the integrand integrand = 1 / sp.sqrt(sp.exp(-4*s) - 4) # Define the function to integrate # 4th: Perform the integration with respect to 's' integral_result = sp.integrate(integrand, s) # Compute the integral # 5th: Display the result sp.pprint(integral_result) # Pretty print the result
4. What is the python code for this problem:

# 1st: Import the sympy module import sympy as sp # Import sympy for symbolic mathematics # 2nd: Define the variable 'z' z = sp.symbols('z') # Define the symbolic variable 'z' # 3rd: Define the integrand integrand = sp.cos(z) / sp.sqrt(sp.sin(z)**2 - 81) # Define the function to integrate # 4th: Perform the integration with respect to 'z' integral_result = sp.integrate(integrand, z) # Compute the integral # 5th: Display the result sp.pprint(integral_result) # Pretty print the result
5. What is the python code for this problem:

# 1st: Import the sympy module import sympy as sp # Import sympy for symbolic mathematics # 2nd: Define the variable 'z' z = sp.symbols('z') # Define the symbolic variable 'z' # 3rd: Define the integrand integrand = 1 / (z * sp.sqrt(9 - z**4)) # Define the function to integrate # 4th: Perform the integration with respect to 'z' integral_result = sp.integrate(integrand, z) # Compute the integral # 5th: Display the result sp.pprint(integral_result) # Pretty print the result