1. What is the python code for this problem:

# 1st: Import the sympy module import sympy as sp # Import sympy for symbolic mathematics # 2nd: Define the variable 'z' z = sp.symbols('z') # Define 'z' as a symbolic variable # 3rd: Define the integrand integrand = ((9 - sp.sqrt(z))**4) / sp.sqrt(z) # Define the integrand function # 4th: Perform the integration integral = sp.integrate(integrand, z) # Compute the indefinite integral # 5th: Display the result sp.pprint(integral) # Pretty print the result
2. What is the python code for this problem:

# 1st: Import the sympy module import sympy as sp # Import sympy for symbolic mathematics # 2nd: Define the variable 'm' m = sp.symbols('m') # Define 'm' as a symbolic variable # 3rd: Define the integrand integrand = 1 / (m**3 * sp.sqrt(sp.ln(m))) # Define the integrand function # 4th: Perform the integration integral = sp.integrate(integrand, m) # Compute the indefinite integral # 5th: Display the result sp.pprint(integral) # Pretty print the result
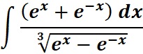
3. What is the python code for this problem:

# 1st: Import the sympy module import sympy as sp # Import sympy for symbolic mathematics # 2nd: Define the variable 'x' x = sp.symbols('x') # Define 'x' as a symbolic variable # 3rd: Define the integrand integrand = (sp.exp(x) + sp.exp(-x)) / sp.sqrt(3 * sp.exp(x) - sp.exp(-x)) # Define the integrand function # 4th: Perform the integration integral = sp.integrate(integrand, x) # Compute the indefinite integral # 5th: Display the result sp.pprint(integral) # Pretty print the result
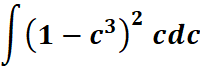
4. What is the python code for this problem:

# 1st: Import the sympy module import sympy as sp # Import sympy for symbolic mathematics # 2nd: Define the variable 'c' c = sp.symbols('c') # Define 'c' as a symbolic variable # 3rd: Define the integrand f = (1 - c**3)**2 * c # Define the function to integrate # 4th: Perform the integration integral = sp.integrate(f, c) # Compute the indefinite integral # 5th: Display the result sp.pprint(integral) # Pretty print the result
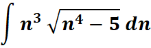
5. What is the python code for this problem:

# 1st: Import the sympy module import sympy as sp # Import sympy for symbolic mathematics # 2nd: Define the variable 'n' n = sp.symbols('n') # Define 'n' as a symbolic variable # 3rd: Define the integrand f = n**3 * sp.sqrt(n**4 - 5) # Define the function to integrate # 4th: Perform the integration integral = sp.integrate(f, n) # Compute the indefinite integral # 5th: Display the result sp.pprint(integral) # Pretty print the result