1. What is the python code for this problem:

# 1st: Import the sympy module import sympy as sp # Import sympy for symbolic mathematics # 2nd: Define the variables 'c' and 'n' c, n = sp.symbols('c n') # Define symbolic variables 'c' and 'n' # 3rd: Define the integrand integrand = c * n * sp.exp(c**2 * n) # Define the function to integrate # 4th: Perform the inner integral with respect to 'n' from 0 to 2 inner_integral = sp.integrate(integrand, (n, 0, 2)) # Compute the inner integral # 5th: Perform the outer integral with respect to 'c' from 0 to 3 double_integral = sp.integrate(inner_integral, (c, 0, 3)) # Compute the outer integral # 6th: Display the result sp.pprint(double_integral) # Pretty print the result
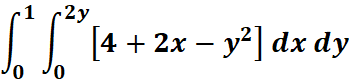
2. What is the python code for this problem:

# 1st: Import the sympy module import sympy as sp # Import sympy for symbolic mathematics # 2nd: Define the variables 'x' and 'y' x, y = sp.symbols('x y') # Define symbolic variables 'x' and 'y' # 3rd: Define the integrand integrand = 4 + 2*x - y**2 # Define the function to integrate # 4th: Perform the inner integral with respect to 'x' from 0 to 2*y inner_integral = sp.integrate(integrand, (x, 0, 2*y)) # Compute the inner integral # 5th: Perform the outer integral with respect to 'y' from 0 to 1 double_integral = sp.integrate(inner_integral, (y, 0, 1)) # Compute the outer integral # 6th: Display the result sp.pprint(double_integral) # Pretty print the result
3. What is the python code for this problem:

# 1st: Import the sympy module import sympy as sp # Import sympy for symbolic mathematics # 2nd: Define the variables 'm' and 'n' m, n = sp.symbols('m n') # Define symbolic variables 'm' and 'n' # 3rd: Define the integrand integrand = m * n**2 # Define the function to integrate # 4th: Perform the inner integral with respect to 'm' from 1 to 3 inner_integral = sp.integrate(integrand, (m, 1, 3)) # Compute the inner integral # 5th: Perform the outer integral with respect to 'n' from 0 to 6 double_integral = sp.integrate(inner_integral, (n, 0, 6)) # Compute the outer integral # 6th: Display the result sp.pprint(double_integral) # Pretty print the result
4. What is the python code for this problem:

# 1st: Import the sympy module import sympy as sp # Import sympy for symbolic mathematics # 2nd: Define the variables 'x' and 'y' x, y = sp.symbols('x y') # Define symbolic variables 'x' and 'y' # 3rd: Define the integrand integrand = x + y # Define the function to integrate # 4th: Perform the inner integral with respect to 'y' from 0 to 2 inner_integral = sp.integrate(integrand, (y, 0, 2)) # Compute the inner integral # 5th: Perform the outer integral with respect to 'x' from -1 to 1 double_integral = sp.integrate(inner_integral, (x, -1, 1)) # Compute the outer integral # 6th: Display the result sp.pprint(double_integral) # Pretty print the result
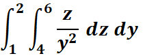
5. What is the python code for this problem:

# 1st: Import the sympy module import sympy as sp # Import sympy for symbolic mathematics # 2nd: Define the variables 'z' and 'y' z, y = sp.symbols('z y') # Define symbolic variables 'z' and 'y' # 3rd: Define the integrand integrand = z / y**2 # Define the function to integrate # 4th: Perform the inner integral with respect to 'z' from 4 to 6 inner_integral = sp.integrate(integrand, (z, 4, 6)) # Compute the inner integral with respect to 'z' # 5th: Perform the outer integral with respect to 'y' from 1 to 2 double_integral = sp.integrate(inner_integral, (y, 1, 2)) # Compute the outer integral with respect to 'y' # 6th: Display the result sp.pprint(double_integral) # Pretty print the result