Formulas of Integral - I
1. Constant Integral
-> the integral states the constant is the constant multiplied by the integration's variable.
Formula:

2. Power Integral
-> the integral states the xn where n is not equal to -1 plus the the integration's constant.
Formula:

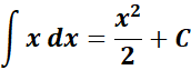
3. Integral of a Function with Respect to Itself
-> the integral states the function with respect to its own variable, when the function is the variable itself, plus the integration's constant.
Formula:

4. Sum Integral
-> the integral states the sum or difference of a functions is the integration's sum or difference.
Formula:

5. Product and Constant Product Integral
-> the integral states the usage of integration by parts.
Formula:

6. Quotient and Constant Quotient Integral
-> the integral states the usage of integration by substitution or partial fraction.
Formula:

7. Square Root Integral
-> the integral states the square root of a function can be found by using substitution.
Formula:

Example |
1. Find the answer from this given:

Steps:
a. Write the given 1st.
b. Use the specific integral formula.
c. Find the integral.
= 
= C = 5
= 
= 
= ![]()
Exercises |
1. 
Steps:
a. Write the given 1st.
b. Use the specific integral formula.
c. Find the integral.
Solution:
= 
= Formula:
;
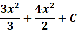
= 
= c1 = 3; c2 = 4; n1 = 2; n1 + 1 = 3; n2 = 1; n2 +1 = 2
=
; 
= 
= 
= ![]()
Answer: ![]()
2. 
Steps:
a. Write the given 1st.
b. Use the specific integral formula.
c. Find the integral.
Solution:
= 
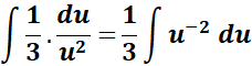
= Formula:
;
= 
= u = x2 - 5; du = 2x dx;
= Use to substitute the given: 
= 
= 
= 
= Substitute the u.
= 
Answer: 
3. 
Steps:
a. Write the given 1st.
b. Use the specific integral formula.
c. Find the integral.
Solution:
= 
= Formula:
; 
= Use to substitute the given: 
= 
= 
= 
= Substitute the u.
= 
= 
Answer: 
4. 
Steps:
a. Write the given 1st.
b. Use the specific integral formula.
c. Find the integral.
Solution:
= 
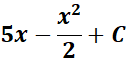
= Formula: 
= c = 5; n = 1; n + 1 = 2
=
; 
= 
= 
Answer: 
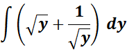
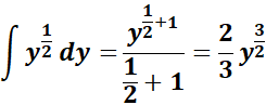
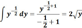
5. 
Steps:
a. Write the given 1st.
b. Use the specific integral formula.
c. Find the integral.
Solution:
=
= Formula:
;
= 
= 
= 
= 
= 
Answer: 