Definition
Iterated Integrals
-> it refers of performing more than one integrations, one after the other, usually in the context of functions of multiple variables.
Double Integral
-> it refers to integrate two times.
Symbol:

Where:
f(x,y) - represents the volume under the surface over the region.
R - represents the xy - plane.
dA = dx dy - represents the differential area elements.
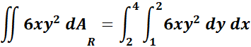
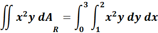
Example |
1. Find the answer from this given:

Steps:
a. Write the given 1st.
b. Use the specific integral formula.
c. Continue to find the integral answer.
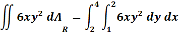
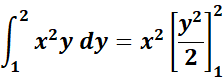
= 
= Formulas:
;
=
; 
= 
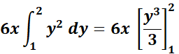
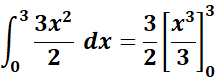
= 
= 
= 
= 
= 
= 84
Exercises |
1. 
Steps:
a. Write the given 1st.
b. Use the specific integral formula.
c. Continue to find the integral answer.
Solution:
= 
= Formula: 
= 
= 
= 
= 
= 13.5
Answer: 13.5
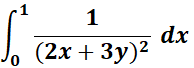
2. 
Steps:
a. Write the given 1st.
b. Use the specific integral formula.
c. Find the integral.
Solution:
= 
= Formula:
;
=
; 
= 
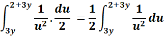
= u = 2x + 3y; du = 2 dx; dx = du/2
= x1 = 0; u = 3y
= x2 =1; u = 2 + 3y
= 
= 
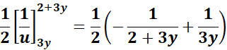
= 
= 
= 
= 
= 
= 
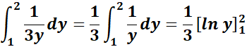
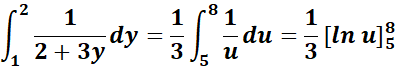
= u = 2 + 3y; du = 3 dy; dy = du/3
= y1 = 1; u = 5
= y2 = 2; u = 8
= 
= 
= 
= 
Answer: 
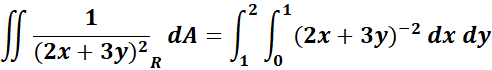
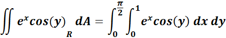
3. 
Steps:
a. Write the given 1st.
b. Use the specific integral formula.
c. Find the integral.
Solution:
= 
= Formula: 
= 
= 
= 
= ![]()
= ![]()
Answer: ![]()
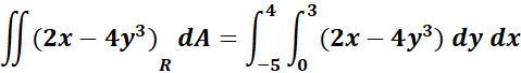
4. 
Steps:
a. Write the given 1st.
b. Use the specific integral formula.
c. Find the integral.
Solution:
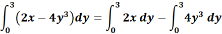
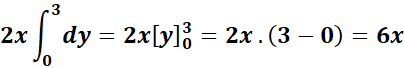
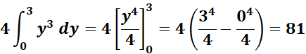
= 
= Formula:
;
= 
= 
= 
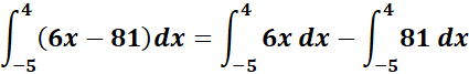
= 
= 6x - 81
= 
= 
= 
= -27 - 729
= -756
Answer: -756
5. 
Steps:
a. Write the given 1st.
b. Use the specific integral formula.
c. Find the integral.
Solution:
= 
= Formula:
; 
= 
= 
= 
= 1
Answer: 1