Definition
Functions
-> two variables must be related that the value of the first variable depends on the values of the second variable, then it said to be a function of the second.
-> two parts consists; a. Independent variable is the second variable; Dependent variable is the first variable.
-> it can be single or multi - valued, that depends on how many values the 1st variable will have for a given of the 2nd variable.
-> four ways to represent a function; a. verbally; b. numerically; c. visually; and d. algebraically.
Domain of a function
-> a function is the set of values that we are allowed to plug into our function.
Range of a function
-> a function is the set of values that the function assumes.
Functional Notation
Symbol:
f(x)
Where:
f(x) - express a function of x and is read f of x.
Example |
1. Find the answer from this given:
f(x) = x3 - 4x2 - 5x + 10; if x = 0
Steps:
a. Substitute the x.
b. Compute.
= (0)3 - 4(0)2 - 5(0) + 10
= 10
Exercises |
1. f(y) = y3 - 3y2 + 6; if y = -2
Steps:
a. Substitute the x.
b. Compute.
Solution:
= (-2)3 - 3(-2)2 + 6
= -8 - 12 + 6
= - 14
Answer: -14
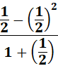
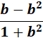
2. f(b) =
; if 
Steps:
a. Substitute the b.
b. Compute.
Solution:
= 
= 
= 
= ![]()
Answer: ![]()
3. h(y) = cos y - sin y; if ![]()
Steps:
a. Substitute the y.
b. Compute.
Solution:
= ![]()
= 1 - 0
= -1
Answer: -1
4. g(z) = z (z - 3)2 ; if z = (-y)
Steps:
a. Substitute the y.
b. Compute.
Solution:
= 7 - 2 (-y) + (-y)2
= 7 + 2y + y2
Answer: 7 + 2y + y2
5. m(x) = cos 2x; if ![]()
Steps:
a. Substitute the x.
b. Compute.
Solution:
= ![]()
= cos 2x
Answer: cos 2x