Definition
Trigonometric Substitution
-> a technique that simplify integrals involving square roots of quadratic expressions. This method leverages trigonometric identities to transform a complex integral into a simpler form that can be more easily evaluated.
Steps to use Trigonometric Substitution |
1. Identify the form of the integral.
2. Choose the appropriate substitution.
3. Compute the differential form.
4. Substitute into the Integral and simplify.
5. Back - Substitute
Integral and Substitution Forms: |
1. ![]()
2. ![]()
3. ![]()
4. ![]()
5. ![]()
6. ![]()
Example |
1. Find the answer from this given:

Steps:
1. Identify the integral form.
2. Choose the trigonometric substitution.
3. Use the derivative.
4. Substitute to integral and simplify.
5. Use back - substitute and find the trigonometric solution.
= 
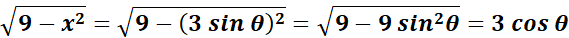
= a2 = 9; a = 3
= Formula: ![]()
=
;
; 
= Substitute: ![]()
= 
= Integrate: 
= Use Back - Substitution:
= 
= 
Exercises |
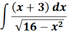
1. 
Steps:
a. Identify the integral form.
b. Choose the trigonometric substitution.
c. Use the derivative.
d. Substitute to integral and simplify.
e. Use back - substitute and find the trigonometric solution.
Solution:
= 
= Formula: ![]()
= a2 = 16; a = 4
=
;
; 
= Substitute: ![]()
= 
= 
= Integrate: 
= 
= Use Back - Substitution:
=
; 
= 
= 
Answer: 
2. 
Steps:
a. Identify the integral form.
b. Choose the trigonometric substitution.
c. Use the derivative.
d. Substitute to integral and simplify.
e. Use back - substitute and find the trigonometric solution.
Solution:
= 
= ![]()
=
;
; 
= Substitute: ![]()
= Use identity: ![]()
= 
= 
= 
= Use Back - Substitute:
= 
= 
= 
Answer: 
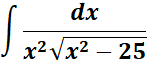
3. 
Steps:
a. Identify the integral form.
b. Choose the trigonometric substitution.
c. Use the derivative.
d. Substitute to integral and simplify.
e. Use back - substitute and find the trigonometric solution.
Solution:
= 
= Formula: ![]()
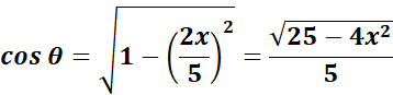
= a2 = 25; a = 5
= 
= Substitute: 
= Use Identity: ![]()
= ![]()
= 
= 
= Integrate: 
= 
= ![]()
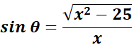
= Use Back - Substitute:
= 
=
; 
= 
= 
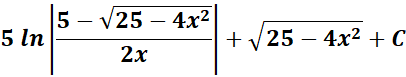
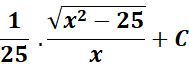
Answer: 
4. 
Steps:
a. Identify the integral form.
b. Choose the trigonometric substitution.
c. Use the derivative.
d. Substitute to integral and simplify.
e. Use back - substitute and find the trigonometric solution.
Solution:
= 
= u = ex; dx = du/u; e2x = u2
= 
= Use Back - Substitute:
= 
= ![]()
Answer: ![]()
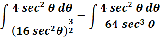
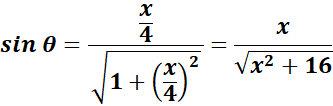
5. 
Steps:
a. Identify the integral form.
b. Choose the trigonometric substitution.
c. Use the derivative.
d. Substitute to integral and simplify.
e. Use back - substitute and find the trigonometric solution.
Solution:
= 
= Formula: ![]()
=
; ![]()
= ![]()
= 
= Integrate: 
= Use Back - Substitution:
= 
= 
= 
= 
Answer: 