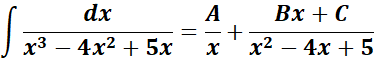
Definition
Repeated Quadratic Factor
-> the term in the denominator of a rational function that is a quadratic expression and appears more than once as a factor in the denominator.
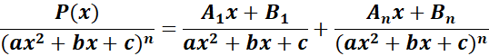
Symbol:

Where:
Ai and Bi - constants
Steps to use Repeated Quadratic Factor |
1. Decompose the fraction.
2. Multiply both sides by denominator.
3. Get the constants.
4. Separate the integration.
5. Simplify and find the repeated quadratic factor.
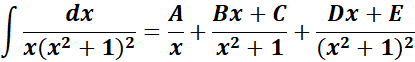
Example |
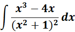
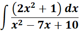
1. Find the answer from this given:

Steps:
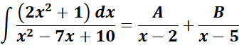
1. Use decomposition.
2. Multiply both sides using the denominator.
3. Get the constants.
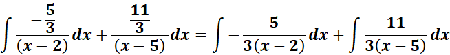
4. Integrate separately each term.
5. Simplify and find the repeated quadratic factor.
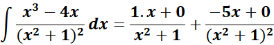
= 
= A and B = (x2 + 1); C and D = (x2 + 1)2
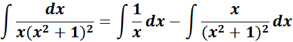
= 
= ![]()
= ![]()
= Solve for A, B, C and D:
= x3: A = 1; x2: B = 0; x = A + C = - 4
= Constants: B + D = -0
= A = 1; B = 0; C = -5; D = 0
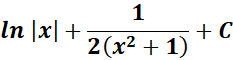
= 
= 
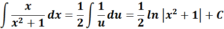
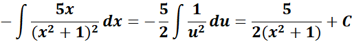
= Formula: 
= u = x2 + 1; du = 2x dx
= 
= 
= Combine altogether:
= 
Exercises |
1. 
Steps:
a. Use decomposition.
b. Multiply both sides using the denominator.
c. Get the constants.
d. Integrate separately each term.
e. Simplify and find the repeated quadratic factor.
Solution:
= 
= Formula: 
= A = (x - 2); B = (x - 5)
= 
= ![]()
= ![]()
= Solve for A and B:
= x2: A + B = 0; x: A + B = 2
= Constants: -5A - 2B = 1
= 
= 
= 
= 
= 
= Combine altogether:
= 
Answer: 
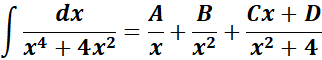
2. 
Steps:
a. Use decomposition.
b. Multiply both sides using the denominator.
c. Get the constants.
d. Integrate separately each term.
e. Simplify and find the repeated quadratic factor.
Solution:
= 
= Formula: 
= A = x; B = (x2 + 1); C = (x2 + 1)2
= 
= ![]()
= ![]()
= Solve for A, B, C, D and E:
= x4: A + B = 0; x3: C = 0; x2: 2A + B + D = 0; x: C + E = 0
= Constants: A = 1
= A = 1; B = -1; C = 0; D = -1 ; E = 0
= 
= 
= u = x2 + 1; du = 2x dx
= 
= Combine altogether:
= 
Answer: 
3. 
Steps:
a. Use decomposition.
b. Multiply both sides using the denominator.
c. Get the constants.
d. Integrate separately each term.
e. Simplify and find the repeated quadratic factor.
Solution:
= 
= Formula: 
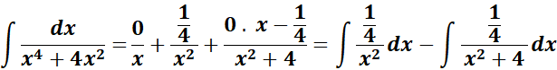
= A = x; B = x2; C = (x2 + 4)
= 
= ![]()
= ![]()
= Solve for A, B, C, and D:
= x3: A + C = 0; x2: B + D = 0; x = 4A = 0
= Constants: 4B = 1
= 
= 
= 
= 
= Combine altogether:
= 
Answer: 
4. 
Steps:
a. Use decomposition.
b. Multiply both sides using the denominator.
c. Get the constants.
d. Integrate separately each term.
e. Simplify and find the repeated quadratic factor.
Solution:
= 
= Formula:
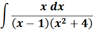
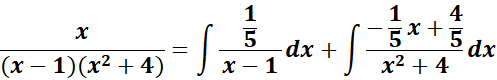
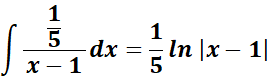
; 
= A = (x - 1); B = (x2 + 4)
= 
= ![]()
= ![]()
= Solve for A, B, and C:
= x2: A + B = 0; x: -B + C = 1
= Constants: 4A - C = 0
=
= 
= 
= 
= 
= 
= Combine altogether:
= 
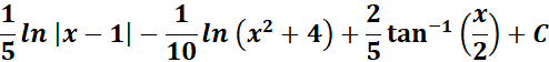
Answer: 
5. 
Steps:
a. Use decomposition.
b. Multiply both sides using the denominator.
c. Get the constants.
d. Integrate separately each term.
e. Simplify and find the repeated quadratic factor.
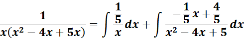
Solution:
= 
= Formula:
; 
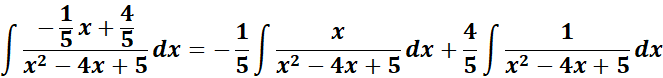
= A = x; B = x2 - 4x + 5; C = x2 - 4x + 5
= 
= ![]()
= ![]()
= Solve for A, B, and C:
= x2: A + B = 0; x: -4A + C = 0
= Constants: 5A = 1
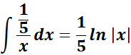
= 
= 
= 
= 
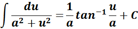
= u = x2 - 4x + 5; du = (2x - 4) dx; dx = du/2(x - 2)
= ![]()
= 
= 
= 
= Combine altogether:
= 
Answer: 