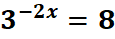
1. What is the python code for this problem:

# 1st: Import the sympy module import sympy as sp # Import sympy for symbolic mathematics # 2nd: Define the constants ln_2 = sp.ln(2) # Define ln(2) ln_3 = sp.ln(3) # Define ln(3) # 3rd: Calculate ln(8) ln_8 = 3 * ln_2 # Since 8 = 2^3 # 4th: Define the equation for x x = - (ln_8 / (2 * ln_3)) # Define the equation x = - (1/2) * (ln(8) / ln(3)) # 5th: Print the equation and the solution print("Equation: x = - (1/2) * (ln(8) / ln(3))") # Output the equation print("Value of x:", x.evalf()) # Output the value of x
2. What is the python code for this problem:

# 1st: Import the sympy module import sympy as sp # Import sympy for symbolic mathematics # 2nd: Define the variable a = 3 # Define the value of 'a' # 3rd: Express the equation # The equation is simply e^(ln(3)) equation = sp.exp(sp.ln(a)) # Exponentiate the natural logarithm of 'a' # 4th: Find the value of x solution = equation # The solution is the evaluated equation # 5th: Print the equation and the solution print("Equation in symbolic form: e^(ln(3))") # Output the equation print("Solution for x:", solution) # Output the solution for x
3. What is the python code for this problem:

# 1st: Import the sympy module import sympy as sp # Import sympy for symbolic mathematics # 2nd: Define the variable x = sp.symbols('x') # Define 'x' as a symbolic variable # 3rd: Express the equation # log10(x) = 3 - log10(2) equation = sp.log(x, 10) - (3 - sp.log(2, 10)) # Define the equation log10(x) = 3 - log10(2) # 4th: Solve for x solution = sp.solve(equation, x) # Solve the equation for x # 5th: Print the equation and the solution print("Equation in symbolic form:", equation) # Output the equation in symbolic form print("Solution for x:", solution[0]) # Output the solution for x
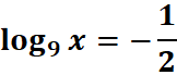
4. What is the python code for this problem:

# 1st: Import the sympy module import sympy as sp # Import sympy for symbolic mathematics # 2nd: Define the variable x = sp.symbols('x') # Define 'x' as a symbolic variable # 3rd: Express the equation # log_9(x) = -1/2 can be rewritten using the change of base formula equation = sp.log(x, 9) + 1/2 # Define the equation log_9(x) = -1/2 # 4th: Solve for x solution = sp.solve(equation, x) # Solve the equation for x # 5th: Print the equation and the solution print("Equation in symbolic form:", equation) # Output the equation in symbolic form print("Solution for x:", solution[0]) # Output the solution for x
5. What is the python code for this problem:

# 1st: Import the sympy module import sympy as sp # Import sympy for symbolic mathematics # 2nd: Define the variable x = sp.symbols('x') # Define 'x' as a symbolic variable # 3rd: Express the equation # ln(x) = ln(2) + ln(3) + ln(5) equation = sp.ln(x) - (sp.ln(2) + sp.ln(3) + sp.ln(5)) # Define the equation # 4th: Solve for x solution = sp.solve(equation, x) # Solve the equation for x # 5th: Print the equation and the solution print("Equation in symbolic form:", equation) # Output the equation in symbolic form print("Solution for x:", solution[0]) # Output the solution for x