Definition
Integral of Inverse Trigonometric Functions
-> this refers to the antiderivative of inverse trigonometric functions.
Formulas of Integral of Inverse Trigonometric Functions |
1. Inverse of Sine Integral
-> this states the integral of inverse sine function.
Formula:

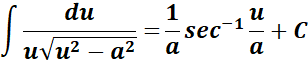
2. Inverse of Secant Integral
-> this states the integral of inverse secant function.
Formula:

3. Inverse of Tangent Integral
-> this states the integral of inverse tangent function.
Formula:

Example |
1. Find the answer from this given:

Steps:
a. Write the given 1st.
b. Use the specific inverse trigonometric integral formula.
c. Find the inverse trigonometric integral.
= 
= a = 3; v = x; dv = dx
= Formula: 
= 
Exercises |
1. 
Steps:
a. Write the given 1st.
b. Use the specific inverse trigonometric integral formula.
c. Find the inverse trigonometric integral.
Solution:
= 
= Formula: 
= a = 4; v = x; dv = dx
= 
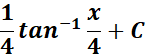
Answer: 
2. 
Steps:
a. Write the given 1st.
b. Use the specific inverse trigonometric integral formula.
c. Find the inverse trigonometric integral.
Solution:
= 
= Formula: 
= Use substitution: u = x2; du = 2x dx
= a2 = 1; b2 = 42; a = 1; b = 2
= 
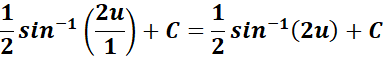
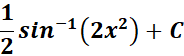
= Substitute the u:
= 
Answer: 
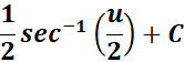
3. 
Steps:
a. Write the given 1st.
b. Use the specific inverse trigonometric integral formula.
c. Find the inverse trigonometric integral.
Solution:
= 
= Formula: 
= a = 2
= 
Answer: 
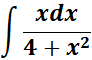
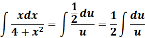
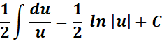
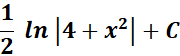
4. 
Steps:
a. Write the given 1st.
b. Use the specific inverse trigonometric integral formula.
c. Find the inverse trigonometric integral.
Solution:
= 
= Formula: 
= u = 4 + x2; du = 2x dx; dx = du/2
= Use it to substitute: 
= 
= Substitute the u:
= 
Answer: 
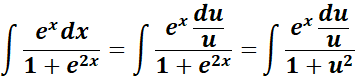
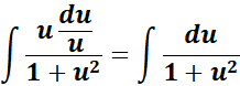
5. 
Steps:
a. Write the given 1st.
b. Use the specific inverse trigonometric integral formula.
c. Find the inverse trigonometric integral.
Solution:
= 
= Formula: 
= u = ex; du = ex dx; dx = du/u
= e2x = (ex)2 = u2
= Use it to substitute: 
= 
= Substitute the u:
= ![]()
Answer: ![]()