Definition
Integral of Hyperbolic Functions
-> this refers to integrate the hyperbolic functions.
Formulas of Integral of Hyperbolic Functions |
1. Hyperbolic Sine Integral
-> this states the integral of hyperbolic sine function.
Formula:

2. Hyperbolic Cosine Integral
-> this states the integral of hyperbolic cosine function.
Formula:

3. Hyperbolic Secant2 Integral
-> this states the integral of hyperbolic secant2 function.
Formula:

4. Hyperbolic Cosecant2 Integral
-> this states the integral of hyperbolic cosecant2 function.
Formula:

5. Hyperbolic Secant & Tangent Integral
-> this states the integral of hyperbolic secant & tangent function.
Formula:

6. Hyperbolic Cosecant & Cotangent Integral
-> this states the integral of hyperbolic cosecant & cotangent function.
Formula:

7. Hyperbolic Tangent Integral
-> this states the integral of hyperbolic tangent function.
Formula:

8. Hyperbolic Cotangent Integral
-> this states the integral of hyperbolic cotangent function.
Formula:

9. Hyperbolic Secant Integral
-> this states the integral of hyperbolic secant function.
Formula:

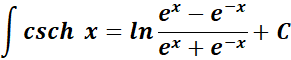
10. Hyperbolic Cosecant Integral
-> this states the integral of hyperbolic cosecant function.
Formula:

Example |
1. Find the answer from this given:

Steps:
a. Write the given 1st.
b. Use the specific hyperbolic trigonometric integral formula.
c. Find the hyperbolic trigonometric integral.
= 
= a = 4
= Formula: 
= 
Exercises |
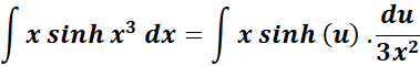
1. 
Steps:
a. Write the given 1st.
b. Use the specific hyperbolic trigonometric integral formula.
c. Find the hyperbolic trigonometric integral.
Solution:
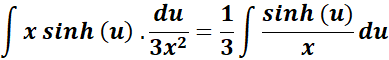
= 
= Formula: 
= u = x3; du = 3x2 dx; x2 dx = du/3x2
= Solve x2: x2 = u2/3
= New Given: 
= Simplify: 
= Substitute the x: x = u1/3; 1/x = u-1/3 du
= 
= 
= 
Answer: 
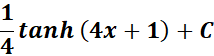
2. 
Steps:
a. Write the given 1st.
b. Use the specific hyperbolic trigonometric integral formula.
c. Find the hyperbolic trigonometric integral.
Solution:
= 
= Formula: 
= u = 4x + 1; du = 4 dx; dx = du/4
= New Given: 
= 
= 
Answer: 
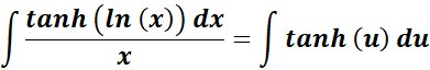
3. 
Steps:
a. Write the given 1st.
b. Use the specific hyperbolic trigonometric integral formula.
c. Find the hyperbolic trigonometric integral.
Solution:
= 
= Formula: 
= u = ln (x); du = dx/x; dx = x du
= New Given: 
= ![]()
Answer: ![]()
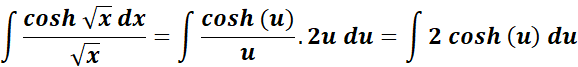
4. 
Steps:
a. Write the given 1st.
b. Use the specific hyperbolic trigonometric integral formula.
c. Find the hyperbolic trigonometric integral.
Solution:
= 
= Formula: 
= u =
; du =
; ![]()
= New Given: 
= ![]()
Answer: ![]()
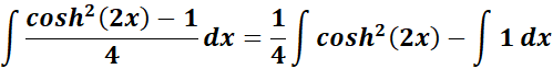
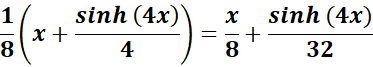
5. 
Steps:
a. Write the given 1st.
b. Use the specific hyperbolic trigonometric integral formula.
c. Use Hyperbolic Identities.
c. Find the hyperbolic trigonometric integral.
Solution:
= 
= Formula:
; 
= Use Hyperbolic Identities:
;
= 
= Substitute: 
= Simplify: 
= ![]()
= New Given: 
= 
= Use this to integrate: 
= 
= Simplify: 
= 
= Combine: 
= 
Answer: 