Definition
Inverse Trigonometric Function
-> The mathematical inverse of the standard trigonometric functions and their specific properties.
Formulas of Inverse Trigonometric Functions |
1. Inverse Sine Derivative
-> The angle in radians such that sin(radians) = x.
Formula: y = arcsin(x) if sin (y) = x.

2. Inverse Cosine Derivative
-> The angle in radians such that cos(radians) = x.
Formula: y = arccos(x) if cos (y) = x.

3. Inverse Tangent Derivative
-> The angle in radians such that tan(radians) = x.
Formula: y = arctan(x) if tan (y) = x.

4. Inverse Cotangent Derivative
-> The angle in radians such that cot(radians) = x.
Formula: y = arccot(x) if cot (y) = x.

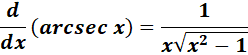
5. Inverse Secant Derivative
-> The angle in radians such that sec(radians) = x.
Formula: y = arcsec(x) if sec (y) = x.

6. Inverse Cosecant Derivative
-> The angle in radians such that csc(radians) = x.
Formula: y = arccsc(x) if csc (y) = x.

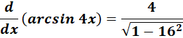
Example |
1. Find the answer from this given:
y = arcsin 4x
Steps:
a. Write the d/dx first.
b. Use the specific derivative formula.
c. Find the dy/dx.
= y = arcsin 4x
= 
= x = 4x; dx = 4; x2 = 16
= 
Exercises |
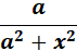
1. ![]()
Steps:
a. Write the dx/da first.
b. Use the specific derivative formula.
c. Find the dx/da.
Solution:
= ![]()
= Formula: 
= 
= 
= 
= 
= ![]()
Answer: ![]()
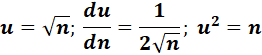
2. ![]()
Steps:
a. Write the dm/dn first.
b. Use the specific derivative formula.
c. Find the dm/dn.
Solution:
= ![]()
= Formula: 
= 
= 
= 
= 
Answer: 
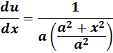
3. ![]()
Steps:
a. Write the dn/dw first.
b. Use the specific derivative formula.
c. Find the dn/dw.
Solution:
= ![]()
= Formula: 
= 
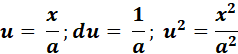
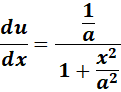
= u = 1 + 4w; du = 4; u2= (1+4w)2
= 
= 
= 
= 
Answer: 
4. m = arctan (t2)
Steps:
a. Write the dx/da first.
b. Use the specific derivative formula.
c. Find the dx/da.
Solution:
= m = arctan (t2)
= Formula: 
= u = t2; du = 2t; u2 = t4
= 
= 
Answer: 
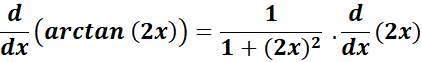
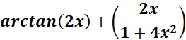
5. g = x arctan 2x
Steps:
a. Write the dg/dx first.
b. Use the specific derivative formula.
c. Find the dg/dx.
Solution:
= g = x arctan 2x
= Formula: 
= d(uv) = u dv + v du
= u = x; du = 1
= v = arctan (2x);
; 
= 
= 
Answer: 