1. What is the python code for this problem:

# 1st: Import the sympy module import sympy as sp # Import SymPy for symbolic mathematics # 2nd: Define the symbolic variable t = sp.symbols('t') # Define 't' as a symbolic variable # 3rd: Define the function n(t) n = (t**2 - 4) * sp.sqrt(t + 1) # Define the function n(t) = (t² - 4) * √(t + 1) # 4th: Compute the derivative of n(t) with respect to t n_derivative = sp.diff(n, t) # 5th: Display the original function and its derivative using pretty printing print("Function n(t):") sp.pprint(n, use_unicode=True) # Pretty print the function print("\nDerivative of n(t):") sp.pprint(n_derivative, use_unicode=True) # Pretty print the derivative
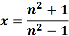
2. What is the python code for this problem:

# 1st: Import the sympy module import sympy as sp # Import SymPy for symbolic mathematics # 2nd: Define the symbolic variable n = sp.symbols('n') # Define 'n' as a symbolic variable # 3rd: Define the function x(n) x = (n**2 + 1) / (n**2 - 1) # Define the function x(n) = (n² + 1) / (n² - 1) # 4th: Compute the derivative of x(n) with respect to n x_derivative = sp.diff(x, n) # 5th: Display the original function and its derivative using pretty printing print("Function x(n):") sp.pprint(x, use_unicode=True) # Pretty print the function print("\nDerivative of x(n):") sp.pprint(x_derivative, use_unicode=True) # Pretty print the derivative
3. What is the python code for this problem:

# 1st: Import the sympy module import sympy as sp # Import SymPy for symbolic mathematics # 2nd: Define the symbolic variable z = sp.symbols('z') # Define 'z' as a symbolic variable # 3rd: Define the function c(z) c = sp.sqrt(z) - 4 * sp.sqrt(z**3) # Define c(z) = sqrt(z) - 4 * sqrt(z³) # 4th: Compute the derivative of c(z) with respect to z c_derivative = sp.diff(c, z) # 5th: Display the original function and its derivative using pretty printing print("Function c(z):") sp.pprint(c, use_unicode=True) # Pretty print the function print("\nDerivative of c(z):") sp.pprint(c_derivative, use_unicode=True) # Pretty print the derivative
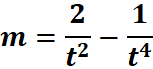
4. What is the python code for this problem:

# 1st: Import the sympy module import sympy as sp # Import SymPy for symbolic mathematics # 2nd: Define the symbolic variable t = sp.symbols('t') # Define 't' as a symbolic variable # 3rd: Define the function m(t) m = (2 / t**2) - (1 / t**4) # Define m(t) = (2/t²) - (1/t⁴) # 4th: Compute the derivative of m(t) with respect to t m_derivative = sp.diff(m, t) # 5th: Display the original function and its derivative using pretty printing print("Function m(t):") sp.pprint(m, use_unicode=True) # Pretty print the function print("\nDerivative of m(t):") sp.pprint(m_derivative, use_unicode=True) # Pretty print the derivative
5. What is the python code for this problem:

# 1st: Import the sympy module import sympy as sp # Import SymPy for symbolic mathematics # 2nd: Define the symbolic variables a, c, s = sp.symbols('a c s') # Define 'a', 'c', and 's' as symbolic variables # 3rd: Define the function b(a, c, s) b = sp.sqrt(a + c * s) # Define b = sqrt(a + c*s) # 4th: Compute the derivative of b with respect to a b_derivative = sp.diff(b, a) # 5th: Display the original function and its derivative using pretty printing print("Function b(a, c, s):") sp.pprint(b, use_unicode=True) # Pretty print the function print("\nDerivative of b with respect to a:") sp.pprint(b_derivative, use_unicode=True) # Pretty print the derivative