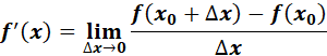
Definition
Derivative of a Function
-> the limit of the ratio of the increment function to the increment of independent variable when it varies and approaches zero.
-> also known as instantaneous rate of change.
Symbol:

Where:
The derivative of a function f at a number x.
General Rules for Differentiation |
1. In the original equation, replace x with
, and y with
, and simplify.
2. Subtract the original equation from the new equation, thus obtaining
in terms of x and
and simplify.
3. Divide both members of the equation by
and simplify.
4. Find the limit of both sides of the equation as
.
Example |
1. Find the answer from this given:
![]()
Steps:
a. Substitute the x with
and
.
b. Rearrange with the same value, where the
must be at the left, while the rest at the right side.
c. Substitute the y equivalent.
d. Factor out the
.
e. Substitute the
with 0.
f. Find the limit.
=
= ![]()
= ![]()
= ![]()
= 
= 
= 3x2 - 2
Exercises |
1. x = y4 - 2y3
Steps:
a. Use the derivative of a function.
b. Substitute the x and y with
and
.
c. Rearrange with the same value, where the
must be at the left, while the rest at the right side.
d. Substitute the x equivalent.
e. Factor out the
.
f. Substitute the
with 0.
g. Find the limit.
Solution:
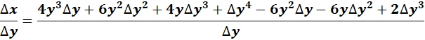
= x = y4 - 2y3
= ![]()
= 
= ![]()
= 
= 
= 
= 4y3 - 6y2
Answer: 4y3 - 6y2
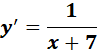
2. 
Steps:
a. Use the derivative of a function.
b. Substitute the x and y with
and
.
c. Rearrange with the same value, where the
must be at the left, while the rest at the right side.
d. Substitute the y equivalent.
e. Factor out the
.
f. Substitute the
with 0.
g. Find the limit.
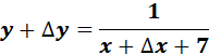
Solution:
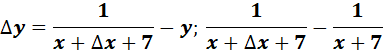
= 
= 
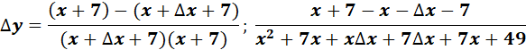
= 
= 
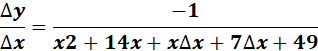
= 
= 
= 
Answer: 
3. ![]()
Steps:
a. Use the derivative of a function.
b. Substitute the m and n with
and m with
.
c. Rearrange with the same value, where the
must be at the left, while the rest at the right side.
d. Substitute the m equivalent.
e. Factor out the
.
f. Substitute the
with 0.
g. Find the limit.
Solution:
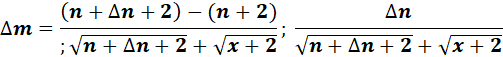
= ![]()
= ![]()
=
= 
= 
= 
= 
= 
Answer: 
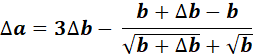
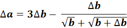
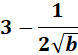
4. ![]()
Steps:
a. Use the derivative of a function.
b. Substitute the a and b with
and
.
c. Rearrange with the same value, where the
must be at the left, while the rest at the right side.
d. Substitute the b equivalent.
e. Factor out the
.
f. Substitute the
with 0.
g. Find the limit.
Solution:
= ![]()
= ![]()
= ![]()
= ![]()
= 
= 
= 
= 
= 
Answer: 
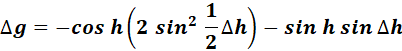
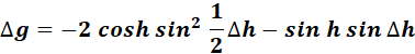
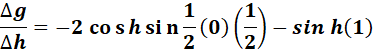
5. g = cos h
Steps:
a. Use the derivative of a function.
b. Substitute the g and h with
and
.
c. Rearrange with the same value, where the
must be at the left, while the rest at the right side.
d. Substitute the g equivalent.
e. Factor out the
.
f. Substitute the
with 0.
g. Find the limit.
Solution:
= g = cos h
= ![]()
=
= ![]()
= ![]()
= ![]()
= 
= 
= 
= 
= - sin h
Answer: - sin h